CBSE 10th Date sheet 2024 CBSE 12th Date Sheet 2024
EXERCISE 10.1
1. Draw a quadrilateral in the Cartesian plane, whose vertices are (– 4, 5), (0, 7), (5, – 5) and (– 4, –2). Also, find its area.
Solution:
Let ABCD be the given quadrilateral with vertices A (-4,5), B (0,7), C (5.-5) and D (-4,-2).
Now let us plot the points on the Cartesian plane by joining the points AB, BC, CD, AD which gives us the required quadrilateral.

To find the area, draw diagonal AC
So, area (ABCD) = area (∆ABC) + area (∆ADC)
Then, area of triangle with vertices (x1,y1) , (x2, y2) and (x3,y3) is
Are of ∆ ABC = ½ [x1 (y2 – y3) + x2 (y3 – y1) + x3 (y1 – y2)]
= ½ [-4 (7 + 5) + 0 (-5 – 5) + 5 (5 – 7)] unit2
= ½ [-4 (12) + 5 (-2)] unit2
= ½ (58) unit2
= 29 unit2
Are of ∆ ACD = ½ [x1 (y2 – y3) + x2 (y3 – y1) + x3 (y1 – y2)]
= ½ [-4 (-5 + 2) + 5 (-2 – 5) + (-4) (5 – (-5))] unit2
= ½ [-4 (-3) + 5 (-7) – 4 (10)] unit2
= ½ (-63) unit2
= -63/2 unit2
Since area cannot be negative area ∆ ACD = 63/2 unit2
Area (ABCD) = 29 + 63/2
= 121/2 unit2
2. The base of an equilateral triangle with side 2a lies along the y-axis such that the mid-point of the base is at the origin. Find vertices of the triangle.
Solution:

Let us consider ABC be the given equilateral triangle with side 2a.
Where, AB = BC = AC = 2a
In the above figure, by assuming that the base BC lies on the x axis such that the mid-point of BC is at the origin i.e. BO = OC = a, where O is the origin.
The co-ordinates of point C are (0, a) and that of B are (0,-a)
Since the line joining a vertex of an equilateral ∆ with the mid-point of its opposite side is perpendicular.
So, vertex A lies on the y –axis
By applying Pythagoras theorem
(AC)2 = OA2 + OC2
(2a)2= a2 + OC2
4a2 – a2 = OC2
3a2 = OC2
OC =√3a
Co-ordinates of point C = ± √3a, 0
∴ The vertices of the given equilateral triangle are (0, a), (0, -a), (√3a, 0)
Or (0, a), (0, -a) and (-√3a, 0)
3. Find the distance between P (x1, y1) and Q (x2, y2) when: (i) PQ is parallel to the y-axis, (ii) PQ is parallel to the x-axis.
Solution:
Given:
Points P (x1, y1) and Q(x2, y2)
(i) When PQ is parallel to y axis then x1 = x2
So, the distance between P and Q is given by


= |y2 – y1|
(ii) When PQ is parallel to the x-axis then y1 = y2
So, the distance between P and Q is given by =


= |x2 – x1|
4. Find a point on the x-axis, which is equidistant from the points (7, 6) and (3, 4).
Solution:
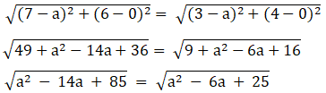
Let us consider (a, 0) be the point on the x-axis that is equidistant from the point (7, 6) and (3, 4).
So,

Now, let us square on both the sides we get,
a2 – 14a + 85 = a2 – 6a + 25
-8a = -60
a = 60/8
= 15/2
∴ The required point is (15/2, 0)
5. Find the slope of a line, which passes through the origin, and the mid-point of the line segment joining the points P (0, – 4) and B (8, 0).
Solution:
The co-ordinates of mid-point of the line segment joining the points P (0, – 4) and B (8, 0) are (0+8)/2, (-4+0)/2 = (4, -2)
The slope ‘m’ of the line non-vertical line passing through the point (x1, y1) and
(x2, y2) is given by m = (y2 – y1)/(x2 – x1) where, x ≠ x1
The slope of the line passing through (0, 0) and (4, -2) is (-2-0)/(4-0) = -1/2
∴ The required slope is -1/2.
6. Without using the Pythagoras theorem, show that the points (4, 4), (3, 5) and (–1, –1) are the vertices of a right-angled triangle.
Solution:
The vertices of the given triangle are (4, 4), (3, 5) and (–1, –1).
The slope (m) of the line non-vertical line passing through the point (x1, y1) and
(x2, y2) is given by m = (y2 – y1)/(x2 – x1) where, x ≠ x1
So, the slope of the line AB (m1) = (5-4)/(3-4) = 1/-1 = -1
the slope of the line BC (m2) = (-1-5)/(-1-3) = -6/-4 = 3/2
the slope of the line CA (m3) = (4+1)/(4+1) = 5/5 = 1
It is observed that, m1.m3 = -1.1 = -1
Hence, the lines AB and CA are perpendicular to each other
∴ given triangle is right-angled at A (4, 4)
And the vertices of the right-angled ∆ are (4, 4), (3, 5) and (-1, -1)
7. Find the slope of the line, which makes an angle of 30° with the positive direction of y-axis measured anticlockwise.
Solution:
We know that, if a line makes an angle of 30° with the positive direction of y-axis measured anti-clock-wise , then the angle made by the line with the positive direction of x- axis measure anti-clock-wise is 90° + 30° = 120°
∴ The slope of the given line is tan 120° = tan (180° – 60°)
= – tan 60°
= –√3
8. Find the value of x for which the points (x, – 1), (2, 1) and (4, 5) are collinear.
Solution:
If the points (x, – 1), (2, 1) and (4, 5) are collinear, then Slope of AB = Slope of BC
Then, (1+1)/(2-x) = (5-1)/(4-2)
2/(2-x) = 4/2
2/(2-x) = 2
2 = 2(2-x)
2 = 4 – 2x
2x = 4 – 2
2x = 2
x = 2/2
= 1
∴ The required value of x is 1.
9. Without using distance formula, show that points (– 2, – 1), (4, 0), (3, 3) and (–3, 2) are the vertices of a parallelogram.
Solution:

Let the given point be A (-2, -1) , B (4, 0) , C ( 3, 3) and D ( -3, 2)
So now, The slope of AB = (0+1)/(4+2) = 1/6
The slope of CD = (3-2)/(3+3) = 1/6
Hence, slope of AB = Slope of CD
∴ AB ∥ CD
Now,
The slope of BC = (3-0)/(3-4) = 3/-1 = -3
The slope of AD = (2+1)/(-3+2) = 3/-1 = -3
Hence, slope of BC = Slope of AD
∴ BC ∥ AD
Thus the pair of opposite sides are quadrilateral are parallel, so we can say that ABCD is a parallelogram.
Hence the given vertices, A (-2, -1), B (4, 0), C(3, 3) and D(-3, 2) are vertices of a parallelogram.
10. Find the angle between the x-axis and the line joining the points (3, –1) and (4, –2).
Solution:
The Slope of the line joining the points (3, -1) and (4, -2) is given by
m = (y2 – y1)/(x2 – x1) where, x ≠ x1
m = (-2 –(-1))/(4-3)
= (-2+1)/(4-3)
= -1/1
= -1
The angle of inclination of line joining the points (3, -1) and (4, -2) is given by
tan θ = -1
θ = (90° + 45°) = 135°
∴ The angle between the x-axis and the line joining the points (3, –1) and (4, –2) is 135°.
11. The slope of a line is double of the slope of another line. If tangent of the angle between them is 1/3, find the slopes of the lines.
Solution:
Let us consider ‘m1’ and ‘m’ be the slope of the two given lines such that m1 = 2m
We know that if θ is the angle between the lines l1 and l2 with slope m1 and m2, then

1+2m2 = -3m
2m2 +1 +3m = 0
2m (m+1) + 1(m+1) = 0
(2m+1) (m+1)= 0
m = -1 or -1/2
If m = -1, then the slope of the lines are -1 and -2
If m = -1/2, then the slope of the lines are -1/2 and -1
Case 2:

2m2 – 3m + 1 = 0
2m2 – 2m – m + 1 = 0
2m (m – 1) – 1(m – 1) = 0
m = 1 or 1/2
If m = 1, then the slope of the lines are 1 and 2
If m = 1/2, then the slope of the lines are 1/2 and 1
∴ The slope of the lines are [-1 and -2] or [-1/2 and -1] or [1 and 2] or [1/2 and 1]
12. A line passes through (x1, y1) and (h, k). If slope of the line is m, show that k – y1 = m (h – x1).
Solution:
Given: the slope of the line is ‘m’
The slope of the line passing through (x1, y1) and (h, k) is (k – y1)/(h – x1)
So,
(k – y1)/(h – x1) = m
(k – y1) = m (h – x1)
Hence proved.
13. If three points (h, 0), (a, b) and (0, k) lie on a line, show that a/h + b/k = 1
Solution:
Let us consider if the given points A (h, 0), B (a, b) and C (0, k) lie on a line
Then, slope of AB = slope of BC
(b – 0)/(a – h) = (k – b)/(0 – a)
let us simplify we get,
-ab = (k-b) (a-h)
-ab = ka- kh –ab +bh
ka +bh = kh
Divide both the sides by kh we get,
ka/kh + bh/kh = kh/kh
a/h + b/k = 1
Hence proved.
14. Consider the following population and year graph (Fig 10.10), find the slope of the line AB and using it, find what will be the population in the year 2010?

Solution:
We know that, the line AB passes through points A (1985, 92) and B (1995, 97),
Its slope will be (97 – 92)/(1995 – 1985) = 5/10 = 1/2
Let ‘y’ be the population in the year 2010. Then, according to the given graph, AB must pass through point C (2010, y)
So now, slope of AB = slope of BC

15/2 = y – 97
y = 7.5 + 97 = 104.5
∴ The slope of the line AB is 1/2, while in the year 2010 the population will be 104.5 crores.
EXERCISE 10.2
1. Write the equations for the x-and y-axes.
Solution:
The y-coordinate of every point on x-axis is 0.
∴ Equation of x-axis is y = 0.
The x-coordinate of every point on y-axis is 0.
∴ Equation of y-axis is y = 0.
2. Passing through the point (– 4, 3) with slope 1/2
Solution:
Given:
Point (-4, 3) and slope, m = 1/2
We know that the point (x, y) lies on the line with slope m through the fixed point (x0, y0), if and only if, its coordinates satisfy the equation y – y0 = m (x – x0)
So, y – 3 = 1/2 (x – (-4))
y – 3 = 1/2 (x + 4)
2(y – 3) = x + 4
2y – 6 = x + 4
x + 4 – (2y – 6) = 0
x + 4 – 2y + 6 = 0
x – 2y + 10 = 0
∴ The equation of the line is x – 2y + 10 = 0.
3. Passing through (0, 0) with slope m.
Solution:
Given:
Point (0, 0) and slope, m = m
We know that the point (x, y) lies on the line with slope m through the fixed point (x0, y0), if and only if, its coordinates satisfy the equation y – y0 = m (x – x0)
So, y – 0 = m (x – 0)
y = mx
y – mx = 0
∴ The equation of the line is y – mx = 0.
4. Passing through (2, 2√3) and inclined with the x-axis at an angle of 75o.
Solution:
Given: point (2, 2√3) and θ = 75°
Equation of line: (y – y1) = m (x – x1)
where, m = slope of line = tan θ and (x1, y1) are the points through which line passes
∴ m = tan 75°
75° = 45° + 30°
Applying the formula:

We know that the point (x, y) lies on the line with slope m through the fixed point (x1, y1), if and only if, its coordinates satisfy the equation y – y1 = m (x – x1)
Then, y – 2√3 = (2 + √3) (x – 2)
y – 2√3 = 2 x – 4 + √3 x – 2 √3
y = 2 x – 4 + √3 x
(2 + √3) x – y – 4 = 0
∴ The equation of the line is (2 + √3) x – y – 4 = 0.
5. Intersecting the x-axis at a distance of 3 units to the left of origin with slope –2.
Solution:
Given:
Slope, m = -2
We know that if a line L with slope m makes x-intercept d, then equation of L is
y = m(x − d).
If the distance is 3 units to the left of origin then d = -3
So, y = (-2) (x – (-3))
y = (-2) (x + 3)
y = -2x – 6
2x + y + 6 = 0
∴ The equation of the line is 2x + y + 6 = 0.
6. Intersecting the y-axis at a distance of 2 units above the origin and making an angle of 30o with positive direction of the x-axis.
Solution:
Given: θ = 30°
We know that slope, m = tan θ
m = tan30° = (1/√3)
We know that the point (x, y) on the line with slope m and y-intercept c lies on the line if and only if y = mx + c.
If distance is 2 units above the origin, c = +2
So, y = (1/√3)x + 2
y = (x + 2√3) / √3
√3 y = x + 2√3
x – √3 y + 2√3 = 0
∴ The equation of the line is x – √3 y + 2√3 = 0.
7. Passing through the points (–1, 1) and (2, – 4).
Solution:
Given:
Points (-1, 1) and (2, -4)
We know that the equation of the line passing through the points (x1, y1) and (x2, y2) is given by

y – 1 = -5/3 (x + 1)
3 (y – 1) = (-5) (x + 1)
3y – 3 = -5x – 5
3y – 3 + 5x + 5 = 0
5x + 3y + 2 = 0
∴ The equation of the line is 5x + 3y + 2 = 0.
8. Perpendicular distance from the origin is 5 units and the angle made by the perpendicular with the positive x-axis is 30o.
Solution:
Given: p = 5 and ω = 30°
We know that the equation of the line having normal distance p from the origin and angle ω which the normal makes with the positive direction of x-axis is given by x cos ω + y sin ω = p.
Substituting the values in the equation, we get
x cos30° + y sin30° = 5
x(√3 / 2) + y( 1/2 ) = 5
√3 x + y = 5(2) = 10
√3 x + y – 10 = 0
∴ The equation of the line is √3 x + y – 10 = 0.
9. The vertices of ΔPQR are P (2, 1), Q (–2, 3) and R (4, 5). Find equation of the median through the vertex R.
Solution:
Given:
Vertices of ΔPQR i.e. P (2, 1), Q (-2, 3) and R (4, 5)
Let RL be the median of vertex R.
So, L is a midpoint of PQ.
We know that the midpoint formula is given by


We know that the equation of the line passing through the points (x1, y1) and (x2, y2) is given by


y – 5 = -3/-4 (x-4)
(-4) (y – 5) = (-3) (x – 4)
-4y + 20 = -3x + 12
-4y + 20 + 3x – 12 = 0
3x – 4y + 8 = 0
∴ The equation of median through the vertex R is 3x – 4y + 8 = 0.
10. Find the equation of the line passing through (–3, 5) and perpendicular to the line through the points (2, 5) and (–3, 6).
Solution:
Given:
Points are (2, 5) and (-3, 6).
We know that slope, m = (y2 – y1)/(x2 – x1)
= (6 – 5)/(-3 – 2)
= 1/-5 = -1/5
We know that two non-vertical lines are perpendicular to each other if and only if their slopes are negative reciprocals of each other.
Then, m = (-1/m)
= -1/(-1/5)
= 5
We know that the point (x, y) lies on the line with slope m through the fixed point (x0, y0), if and only if, its coordinates satisfy the equation y – y0 = m (x – x0)
Then, y – 5 = 5(x – (-3))
y – 5 = 5x + 15
5x + 15 – y + 5 = 0
5x – y + 20 = 0
∴ The equation of the line is 5x – y + 20 = 0
11. A line perpendicular to the line segment joining the points (1, 0) and (2, 3) divides it in the ratio 1: n. Find the equation of the line.
Solution:
We know that the coordinates of a point dividing the line segment joining the points (x1, y1) and (x2, y2) internally in the ratio m: n are


We know that slope, m = (y2 – y1)/(x2 – x1)
= (3 – 0)/(2 – 1)
= 3/1
= 3
We know that two non-vertical lines are perpendicular to each other if and only if their slopes are negative reciprocals of each other.
Then, m = (-1/m) = -1/3
We know that the point (x, y) lies on the line with slope m through the fixed point (x0, y0), if and only if, its coordinates satisfy the equation y – y0 = m (x – x0)
Here, the point is

3((1 + n) y – 3) = (-(1 + n) x + 2 + n)
3(1 + n) y – 9 = – (1 + n) x + 2 + n
(1 + n) x + 3(1 + n) y – n – 9 – 2 = 0
(1 + n) x + 3(1 + n) y – n – 11 = 0
∴ The equation of the line is (1 + n) x + 3(1 + n) y – n – 11 = 0.
12. Find the equation of a line that cuts off equal intercepts on the coordinate axes and passes through the point (2, 3).
Solution:
Given: the line cuts off equal intercepts on the coordinate axes i.e. a = b.
We know that equation of the line intercepts a and b on x-and y-axis, respectively, which is
x/a + y/b = 1
So, x/a + y/a = 1
x + y = a … (1)
Given: point (2, 3)
2 + 3 = a
a = 5
Substitute value of ‘a’ in (1), we get
x + y = 5
x + y – 5 = 0
∴ The equation of the line is x + y – 5 = 0.
13. Find equation of the line passing through the point (2, 2) and cutting off intercepts on the axes whose sum is 9.
Solution:
We know that equation of the line making intercepts a and b on x-and y-axis, respectively, is x/a + y/b = 1 . … (1)
Given: sum of intercepts = 9
a + b = 9
b = 9 – a
Now, substitute value of b in the above equation, we get
x/a + y/(9 – a) = 1
Given: the line passes through the point (2, 2),
So, 2/a + 2/(9 – a) = 1
[2(9 – a) + 2a] / a(9 – a) = 1 [18 – 2a + 2a] / a(9 – a) = 1
18/a(9 – a) = 1
18 = a (9 – a)
18 = 9a – a2
a2 – 9a + 18 = 0
Upon factorizing, we get
a2 – 3a – 6a + 18 = 0
a (a – 3) – 6 (a – 3) = 0
(a – 3) (a – 6) = 0
a = 3 or a = 6
Let us substitute in (1),
Case 1 (a = 3):
Then b = 9 – 3 = 6
x/3 + y/6 = 1
2x + y = 6
2x + y – 6 = 0
Case 2 (a = 6):
Then b = 9 – 6 = 3
x/6 + y/3 = 1
x + 2y = 6
x + 2y – 6 = 0
∴ The equation of the line is 2x + y – 6 = 0 or x + 2y – 6 = 0.
EXERCISE 10.3
1. Reduce the following equations into slope – intercept form and find their slopes and the y – intercepts.
(i) x + 7y = 0
(ii) 6x + 3y – 5 = 0
(iii) y = 0
Solution:
(i) x + 7y = 0
Given:
The equation is x + 7y = 0
Slope – intercept form is represented in the form ‘y = mx + c’, where m is the slope and c is the y intercept
So, the above equation can be expressed as
y = -1/7x + 0
∴ The above equation is of the form y = mx + c, where m = -1/7 and c = 0.
(ii) 6x + 3y – 5 = 0
Given:
The equation is 6x + 3y – 5 = 0
Slope – intercept form is represented in the form ‘y = mx + c’, where m is the slope and c is the y intercept
So, the above equation can be expressed as
3y = -6x + 5
y = -6/3x + 5/3
= -2x + 5/3
∴ The above equation is of the form y = mx + c, where m = -2 and c = 5/3.
(iii) y = 0
Given:
The equation is y = 0
Slope – intercept form is given by ‘y = mx + c’, where m is the slope and c is the y intercept
y = 0 × x + 0
∴ The above equation is of the form y = mx + c, where m = 0 and c = 0.
2. Reduce the following equations into intercept form and find their intercepts on the axes.
(i) 3x + 2y – 12 = 0
(ii) 4x – 3y = 6
(iii) 3y + 2 = 0
Solution:
(i) 3x + 2y – 12 = 0
Given:
The equation is 3x + 2y – 12 = 0
Equation of line in intercept form is given by x/a + y/b = 1, where ‘a’ and ‘b’ are intercepts on x axis and y – axis respectively.
So, 3x + 2y = 12
now let us divide both sides by 12, we get
3x/12 + 2y/12 = 12/12
x/4 + y/6 = 1
∴ The above equation is of the form x/a + y/b = 1, where a = 4, b = 6
Intercept on x – axis is 4
Intercept on y – axis is 6
(ii) 4x – 3y = 6
Given:
The equation is 4x – 3y = 6
Equation of line in intercept form is given by x/a + y/b = 1, where ‘a’ and ‘b’ are intercepts on x axis and y – axis respectively.
So, 4x – 3y = 6
Now let us divide both sides by 6, we get
4x/6 – 3y/6 = 6/6
2x/3 – y/2 = 1
x/(3/2) + y/(-2) = 1
∴ The above equation is of the form x/a + y/b = 1, where a = 3/2, b = -2
Intercept on x – axis is 3/2
Intercept on y – axis is -2
(iii) 3y + 2 = 0
Given:
The equation is 3y + 2 = 0
Equation of line in intercept form is given by x/a + y/b = 1, where ‘a’ and ‘b’ are intercepts on x axis and y – axis respectively.
So, 3y = -2
Now, let us divide both sides by -2, we get
3y/-2 = -2/-2
3y/-2 = 1
y/(-2/3) = 1
∴ The above equation is of the form x/a + y/b = 1, where a = 0, b = -2/3
Intercept on x – axis is 0
Intercept on y – axis is -2/3
3. Reduce the following equations into normal form. Find their perpendicular distances from the origin and angle between perpendicular and the positive x-axis.
(i) x – √3y + 8 = 0
(ii) y – 2 = 0
(iii) x – y = 4
Solution:
(i) x – √3y + 8 = 0
Given:
The equation is x – √3y + 8 = 0
Equation of line in normal form is given by x cos θ + y sin θ = p where ‘θ’ is the angle between perpendicular and positive x axis and ‘p’ is perpendicular distance from origin.
So now, x – √3y + 8 = 0
x – √3y = -8
Divide both the sides by √(12 + (√3)2) = √(1 + 3) = √4 = 2
x/2 – √3y/2 = -8/2
(-1/2)x + √3/2y = 4
This is in the form of: x cos 120o + y sin 120o = 4
∴ The above equation is of the form x cos θ + y sin θ = p, where θ = 120° and p = 4.
Perpendicular distance of line from origin = 4
Angle between perpendicular and positive x – axis = 120°
(ii) y – 2 = 0
Given:
The equation is y – 2 = 0
Equation of line in normal form is given by x cos θ + y sin θ = p where ‘θ’ is the angle between perpendicular and positive x axis and ‘p’ is perpendicular distance from origin.
So now, 0 × x + 1 × y = 2
Divide both sides by √(02 + 12) = √1 = 1
0 (x) + 1 (y) = 2
This is in the form of: x cos 90o + y sin 90o = 2
∴ The above equation is of the form x cos θ + y sin θ = p, where θ = 90° and p = 2.
Perpendicular distance of line from origin = 2
Angle between perpendicular and positive x – axis = 90°
(iii) x – y = 4
Given:
The equation is x – y + 4 = 0
Equation of line in normal form is given by x cos θ + y sin θ = p where ‘θ’ is the angle between perpendicular and positive x axis and ‘p’ is perpendicular distance from origin.
So now, x – y = 4
Divide both the sides by √(12 + 12) = √(1+1) = √2
x/√2 – y/√2 = 4/√2
(1/√2)x + (-1/√2)y = 2√2
This is in the form: x cos 315o + y sin 315o = 2√2
∴ The above equation is of the form x cos θ + y sin θ = p, where θ = 315° and p = 2√2.
Perpendicular distance of line from origin = 2√2
Angle between perpendicular and positive x – axis = 315°
4. Find the distance of the point (–1, 1) from the line 12(x + 6) = 5(y – 2).
Solution:
Given:
The equation of the line is 12(x + 6) = 5(y – 2).
12x + 72 = 5y – 10
12x – 5y + 82 = 0 … (1)
Now, compare equation (1) with general equation of line Ax + By + C = 0, where A = 12, B = –5, and C = 82
Perpendicular distance (d) of a line Ax + By + C = 0 from a point (x1, y1) is given by

∴ The distance is 5units.
5. Find the points on the x-axis, whose distances from the line x/3 + y/4 = 1 are 4 units.
Solution:
Given:
The equation of line is x/3 + y/4 = 1
4x + 3y = 12
4x + 3y – 12 = 0 …. (1)
Now, compare equation (1) with general equation of line Ax + By + C = 0, where A = 4, B = 3, and C = -12
Let (a, 0) be the point on the x-axis, whose distance from the given line is 4 units.
So, the perpendicular distance (d) of a line Ax + By + C = 0 from a point (x1, y1) is given by

|4a – 12| = 4 × 5
± (4a – 12) = 20
4a – 12 = 20 or – (4a – 12) = 20
4a = 20 + 12 or 4a = -20 + 12
a = 32/4 or a = -8/4
a = 8 or a = -2
∴ The required points on the x – axis are (-2, 0) and (8, 0)
6. Find the distance between parallel lines
(i) 15x + 8y – 34 = 0 and 15x + 8y + 31 = 0
(ii) l(x + y) + p = 0 and l (x + y) – r = 0
Solution:
(i) 15x + 8y – 34 = 0 and 15x + 8y + 31 = 0
Given:
The parallel lines are 15x + 8y – 34 = 0 and 15x + 8y + 31 = 0.
By using the formula,
The distance (d) between parallel lines Ax + By + C1 = 0 and Ax + By + C2 = 0 is given by

∴ The distance between parallel lines is 65/17
(ii) l(x + y) + p = 0 and l (x + y) – r = 0
Given:
The parallel lines are l (x + y) + p = 0 and l (x + y) – r = 0.
lx + ly + p = 0 and lx + ly – r = 0
by using the formula,
The distance (d) between parallel lines Ax + By + C1 = 0 and Ax + By + C2 = 0 is given by

∴ The distance between parallel lines is |p+r|/l√2
7. Find equation of the line parallel to the line 3x − 4y + 2 = 0 and passing through the point (–2, 3).
Solution:
Given:
The line is 3x – 4y + 2 = 0
So, y = 3x/4 + 2/4
= 3x/4 + ½
Which is of the form y = mx + c, where m is the slope of the given line.
The slope of the given line is 3/4
We know that parallel line have same slope.
∴ Slope of other line = m = 3/4
Equation of line having slope m and passing through (x1, y1) is given by
y – y1 = m (x – x1)
∴ Equation of line having slope 3/4 and passing through (-2, 3) is
y – 3 = ¾ (x – (-2))
4y – 3 × 4 = 3x + 3 × 2
3x – 4y = 18
∴ The equation is 3x – 4y = 18
8. Find equation of the line perpendicular to the line x – 7y + 5 = 0 and having x intercept 3.
Solution:
Given:
The equation of line is x – 7y + 5 = 0
So, y = 1/7x + 5/7 [which is of the form y = mx + c, where m is the slope of the given line.]
Slope of the given line is 1/7
Slope of the line perpendicular to the line having slope m is -1/m
Slope of the line perpendicular to the line having a slope of 1/7 is -1/(1/7) = -7
So, the equation of line with slope -7 and x intercept 3 is given by y = m(x – d)
y = -7 (x – 3)
y = -7x + 21
7x + y = 21
∴ The equation is 7x + y = 21
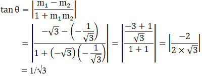
9. Find angles between the lines √3x + y = 1 and x + √3y = 1.
Solution:
Given:
The lines are √3x + y = 1 and x + √3y = 1
So, y = -√3x + 1 … (1) and
y = -1/√3x + 1/√3 …. (2)
Slope of line (1) is m1 = -√3, while the slope of line (2) is m2 = -1/√3
Let θ be the angle between two lines
So,

θ = 30°
∴ The angle between the given lines is either 30° or 180°- 30° = 150°
10. The line through the points (h, 3) and (4, 1) intersects the line 7x − 9y −19 = 0. At right angle. Find the value of h.
Solution:
Let the slope of the line passing through (h, 3) and (4, 1) be m1
Then, m1 = (1-3)/(4-h) = -2/(4-h)
Let the slope of line 7x – 9y – 19 = 0 be m2
7x – 9y – 19 = 0
So, y = 7/9x – 19/9
m2 = 7/9
Since, the given lines are perpendicular
m1 × m2 = -1
-2/(4-h) × 7/9 = -1
-14/(36-9h) = -1
-14 = -1 × (36 – 9h)
36 – 9h = 14
9h = 36 – 14
h = 22/9
∴ The value of h is 22/9
11. Prove that the line through the point (x1, y1) and parallel to the line Ax + By + C = 0 is A (x – x1) + B (y – y1) = 0.
Solution:
Let the slope of line Ax + By + C = 0 be m
Ax + By + C = 0
So, y = -A/Bx – C/B
m = -A/B
By using the formula,
Equation of the line passing through point (x1, y1) and having slope m = -A/B is
y – y1 = m (x – x1)
y – y1= -A/B (x – x1)
B (y – y1) = -A (x – x1)
∴ A(x – x1) + B(y – y1) = 0
So, the line through point (x1, y1) and parallel to the line Ax + By + C = 0 is A (x – x1) + B (y – y1) = 0
Hence proved.
12. Two lines passing through the point (2, 3) intersects each other at an angle of 60o. If slope of one line is 2, find equation of the other line.
Solution:
Given: m1 = 2
Let the slope of the first line be m1
And let the slope of the other line be m2.
Angle between the two lines is 60°.
So,



Last Updated on: December 05, 2025